Площадь треугольника
- Треугольник: определение и виды фигуры
- Как вычислить площадь треугольника?
- Прямоугольный треугольник
- Равнобедренный треугольник
- Равносторонний треугольник
- Определение площади треугольника с неизвестными данными
- Известны основание и высота
- Известны величины трех сторон
- Известны две стороны и угол между ними
- Известны одна сторона и прилежащие к ней углы
- Известны радиус вписанной окружности и полупериметр
- Известны радиус описанной окружности и периметр
Необходимость вычисления площади различных фигур, в том числе и треугольных, возникла за несколько веков до нашей эры. Над этим задумывались ученые и астрономы Древнем Египте.
В жизни иногда встречаются ситуации, когда требуется искать в закромах памяти знания из далеких школьных лет: подошла очередь ремонта в доме и нужно рассчитать количество необходимого материала, или потребовалось узнать площадь земельного участка в виде треугольника.

Человеческая память не может сразу воспроизвести убранные за ненадобностью школьные знания, что вполне естественно. Поэтому здесь собраны основные методы для расчета площади большинства видов треугольника.
Вычислить площадь треугольника можно различными вариантами, применяя определенные формулы. Методы расчета зависят от типов треугольных фигур и от того, какие вычислительные данные известны.
Треугольник: определение и виды фигуры
Из курса геометрии известно, что треугольник представляет собой многоугольную фигуру, которая имеет три лежащие на разных линиях точки, соединенные между собой отрезками. Размер площади треугольника выражается количеством заключенных в ней квадратных единиц и представляет собой положительное число, которое показывает размер фигуры, в части поверхности, ограниченной тремя отрезками в замкнутый контур.

В зависимости от длины сторон и величины угла выделяется несколько разновидностей треугольников:
- прямоугольный, имеющий один прямой угол;
- остроугольный, все углы которого острые, то есть меньше 90 градусов;
- тупоугольный, содержащий один тупой угол в диапазоне от 90 до 180 градусов;
- равнобедренный, имеющий две равные по длине боковые стороны;
- равносторонний, у которого все три стороны имеют одинаковое значение.
Для расчета площади каждого типа треугольной фигуры используется специальная формула.
Как вычислить площадь треугольника?
Классические формулы расчета площади треугольных фигур соотносятся с видами треугольников. Приведенные ниже формулы определения площади произвольного треугольника подойдут для установления площади, вне зависимости от его характеристик, углов или размеров.
Прямоугольный треугольник
Прямоугольный треугольник характеризуется наличием прямого угла. Две его стороны, образующие этот угол носят название катетов. Противоположная прямому углу сторона треугольника именуется гипотенузой.

Основная формула расчета площади прямоугольного треугольника основывается на значениях катетов фигуры.
Формула:

где a, b – катеты треугольника.
Расчет:
- Перемножаются величины двух катетов.
- Полученное значение делится на два.
Вычислить площадь прямоугольного треугольника можно по другой формуле, где за основу берется величина гипотенузы и высота, проведенная к ней.
Формула:

где c – гипотенуза, hc – высота, проведенная к гипотенузе.
Расчет:
- Умножается длина гипотенуза на величину высоты, идущей от противоположной вершины.
- Полученное значение уменьшается вдвое.
Равнобедренный треугольник
В равнобедренном треугольнике две боковые стороны равны по значению, отличающаяся размерами сторона называется основанием.

Площадь равнобедренного треугольника рассчитывается по формуле:

где а – равные стороны треугольника, b – основание.
Расчет:
- Определяется разница из четырехкратного квадратного корня равных сторон и квадратного корня основания.
- Из полученного значения извлекается квадратный корень.
- Результат умножается на величину основания, уменьшенную в 4 раза.
Равносторонний треугольник
Частным случаем равнобедренного треугольника является равносторонний, отличающийся тем, что все стороны и углы фигуры равны по значению.

Площадь равностороннего треугольника определяется по формуле:

где a – сторона равностороннего треугольника.
Определение площади треугольника с неизвестными данными
Классические формулы расчета площади треугольника могут выручить не всегда. Существует ряд ситуаций, когда неизвестны необходимые для подстановки в формулу величины. При этом используют другие методы для расчета площади треугольника, напрямую зависящие от того, какие данные известны. Все варианты предусматривают конкретную формулу и определенный порядок проведения расчетов.
Известны основание и высота
Площадь треугольника определяется как половина произведения высоты фигуры и длины основания, то есть той стороны треугольника, к которой проведена высота.
Формула:

где b – длина основания; h – высота.
Расчет:
- Умножается высота на длину основания, получается площадь многоугольника.
- Для получения площади треугольника полученный результат делится на 2.
Известны величины трех сторон
Площадь треугольника рассчитывается по формуле Герона. Для облегчения формулы метод предусматривает предварительный расчет величины полупериметра.
Формула Герона:

где p – величина полупериметра; a, b, c – значения длины сторон треугольника.
Расчет:
- Вычисление полупериметра по формуле

- Расчет площади фигуры по формуле Герона.
Известны две стороны и угол между ними
Площадь треугольника рассчитывается как произведение двух сторон, умноженное на синус угла, расположенного между этими сторонами. Угол – геометрическая фигура, полученная из двух лучей, исходящих из одной точки (вершины угла).

Формула:

где a, b – стороны треугольника, C – угол между сторонами.
Расчет:
- Перемножение двух сторон.
- Определение синуса угла – тригонометрической функции, в прямоугольном треугольнике равной отношению противолежащего катета к гипотенузе.
- Умножение произведения двух сторон на синус угла.
- Полученный результат делится пополам.
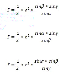
Известны одна сторона и прилежащие к ней углы
Площадь подобного треугольника равна половине квадрата известной стороны, умноженной на дробь, с числителем, выражающим произведение синусов прилежащих углов, и знаменателем, указывающим синус противолежащего угла.
Формула:

Расчет:
- Рассчитывается квадрат известной стороны и делится на 2.
- Перемножаются синусы прилежащих углов и делятся на синус противолежащего. Вычисляется противолежащий угол по формуле:
γ= 180°−(α+ β)
β= 180°−(α+ γ)
α= 180°−(β+ γ)
- Перемножаются полученные значения.
Известны радиус вписанной окружности и полупериметр
Площадь треугольника определяется как произведение радиуса вписанной окружности на его полупериметр. Окружность называется вписанной, если имеет одну общую с многоугольником точку с каждой стороны фигуры. Центральная точка вписанной в треугольник окружности всегда располагается в точке, где пересекаются биссектрисы его внутренних углов.

Формула:
S = p * r, где p – полупериметр треугольника, r – радиус вписанной окружности.
Расчет:
1. Полупериметр определяется как половина суммы всех сторон треугольника по формуле:

где a, b, c – стороны треугольника.
2. Перемножаются полупериметр треугольника и радиус вписанной окружности.
Известны радиус описанной окружности и периметр
Треугольник называется описанным вокруг окружности, если его стороны соприкасаются с кругом, а сам он находится снаружи. Площадь треугольника определяется как половина произведения периметра треугольника и радиуса описанной окружности.

Формула:

где r – радиус описанной окружности, a, b, c – стороны треугольника.
Расчет:
- Определяется периметр треугольника как сумма всех его сторон.
- Умножается величина радиуса описанной окружности на величину периметра треугольника.
- Полученный результат делится пополам.
Знание формул вычисления площади треугольника поможет при определении площади объемных фигур, в основе граней которых лежат треугольные фигуры, таких, как например, пирамида.